机器视觉相关
新闻详情

基于机器视觉的点胶质量检测方法

发布时间:2022-12-23 17:01:57 最后更新:2023-02-08 08:52:21 浏览次数:4395

       手机、电脑等电子设备一般通过胶水使其各组件连接,工业生产中一般采用自动点胶机进行点胶,但由于点胶机工艺水平的限制往往会导致不合格品产生,如少胶、断胶、无胶等。如果不能及时检测出这些不合格品,将会严重影响产品最终应用性能。

       传统的点胶质量检测主要依靠人工进行,不仅耗费大量的人力物力,而且效率低下,检测精度往往不足。随着机器视觉的不断兴起,视觉检测技术已经成为国内外研究的热点。本文提出一种基于亚像素边缘检测的视觉点胶质量检测方法,通过细化图像边缘像素,结合模板匹配方法,实现更加高效、快速的点胶质量检测。

1. 检测系统方案设计

       一个完整的检测系统由硬件和软件两部分组成,硬件部分主要由工业相机、光源、镜头和计算机等部件组成,主要负责采集待检测产品的图像信息,其整体结构如图 1 所示。

 

图1视觉检测系统

       软件部分主要是对图像进行分析,通过对采集到的图像进行处理,最终确定待检测产品点胶质量及不合格原因。常用的图像分析软件主要有 Halcon、Opencv 等。其中,Halcon 代码精简,运行效率高,拥有广泛的集成开发环境,是世界上公认具有最佳效能的商用机器视觉软件之一,因此,本文选用 Halcon 完成点胶质量检测的图像处理任务。

2.检测系统实现

       本文针对点胶质量检测方法步骤可归纳如下:Step1: 分别拍摄得到标准合格产品与待检测产品图像。Step2: 选取标准合格产品图像,对图像进行预处理后划分目标区域( 包含点胶区域和溢胶区域) 并通过亚像素提取法分割点胶区域与溢胶区域。Step3: 在标准合格产品图像中选定模板区域( 所有产品图像中相同且与目标区域无关的区域) 创建模板进行匹配,并根据匹配结果计算相各待检产品图像与标准合格产品图像间仿射变换矩阵。Step4: 根据仿射变换矩阵搜索每一待检测产品图像中目标区域。Step5: 判断待检测产品点胶质量,若不合格,则进一步判断不合格原因。

2.1 图像预处理

       在图像采集的过程中由于环境以及待检测产品自身特性等因素影响,往往会使得采集得到的图像包含噪声,这些噪声的存在往往会对点胶质量检测结果的准确性造成影响。为了解决此类问题,在对待检测产品点胶质量检测前,通常需要对所采集到的图像进行降噪处理。常用的图像噪声处理方法有均值滤波、中值滤波等。由于均值滤波具有运算简单、速度快、降噪效果好等优点而被广泛应用,因此在本文中采用均值滤波去除待检测产品图像噪声,其处理前后结果如图 2 所示。

 

 

图2 降噪前后产品图像对比

2.2 点胶区域提取

2.2.1 目标区域确定

       为准确提取合格产品标准图像中目标区域( 点胶区域与溢胶区域) ,需要在标准合格图像中提取包含目标区域最小范围区域。并剔除干扰背景。如图3所示。


 

图3包含目标区域最小区域

       采用阈值分割方法对目标区域进行图像分割,利用图像在目标与背景处的灰度值差异设置分割阈值,从而实现对图像目标区域的提取。其算法表达式为:

 

       其中,f 表示待分割的图像中目标区域的灰度值,gmin和 gmax分别表示目标区域灰度阈值上下限。R 表示提取出来的目标区域。

       标准合格产品图像目标区域中所包含的区域有点胶区域与溢胶区域,通过轮廓选择以及形态学处理后可初步定位标准合格产品图像中的点胶区域,目标区域中的其他部分即为溢胶区域。2.2.1 亚像素边缘提取图像是由像素点构成,这些像素决定了图像所呈现出的效果。通过上述图像分割可初步定位标准合格产品图像目标区域中的点胶区域,由于得到的点胶区域( 边缘) 精度也为像素级别,无法适应工业应用中高精度的检测要求,此时就需要提取点胶区域的亚像素精度轮廓。亚像素精度是指在两个相邻像素之间细分,将每个像素分为更小单元,从而在软件层面提高图像分辨率,以满足更高的精度要求。本文以初定位目标区域中点胶区域的外边界和边界像素中心作为亚像素轮廓点生成图像亚像素边缘。在外界因素及图像噪声等影响下,生成的亚像素轮廓中通常包含伪边缘及不必要轮廓,因此需要根据长度等特征进行区分,得到点胶区域亚像素轮廓。亚像素轮廓的应用,提高了产品点胶质量的检测精度,满足工业使用要求,如图 4 所示。

 

图4图像边缘

2.3 模板选定与匹配

       模板匹配是在待检测产品图像中根据已知的模板图的某种特性进行匹配,从而得到模板图像和待检图像之间的关系。模板匹配不仅可用于物品完整性检测,也可用于物体识别,即区分不同类型物体,是最具代表性的一种图像识别方法。模板匹配方法一般包括灰度值模板匹配和几何特征模板匹配。由于不同产品图像拍摄角度与点胶质量的不同,导致显示在产品图像中胶水宽度、位置均发生变化,因此选用与目标区域无关的模板区域作为模板,进行待检测产品图像与标准合格产品图像匹配对提高检测结果具有重要意义。

       通过观察图 5 所示的几种典型待检测产品图像可知,每个图像均包含与目标区域无关的相同区域( 图中红/蓝色框内区域) ,实验表明,选取标准合格产品图像中的任意相同无关区域作为模板,能极大的提高模板匹配的效率。

 

图5典型待检测产品图像

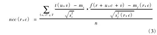
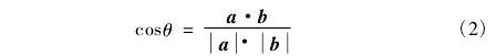
       NCC 匹配方法是灰度值模板匹配中最具代表性的方法,最初由 Rosenfeld 等人提出,其主要原理是根据图像相似度值来判断不同图像间的相似度特性。在空间中,一维向量相似度值计算方法如式( 2) 所示:

 

       通过 cosθ 的值来判断两个向量 a 和 b 之间的相关性,当 cosθ 的值越接近 1 时,表明向量 a 和 b 之间夹角越小,向量 a 和 b 相似度越高。将该原理推广到二维图像中,可得用于二维图像中,图像相似度系数( 图像归一化相关系数) ,如式( 3) 所示:

 

       其中,mt表示模板图像的平均灰度值,s2t表示模板图像中所有像素灰度值的方差,t( u,v) 表示模板图像 T 中点 ( u,v) 处的灰度值。即:

       

       通过计算 ncc 的值来确定模板图像和待检图像之间的匹配程度。其中,ncc( r,c) ∈ [0,1],其值越接近 1,表明待检图像与模板图像相似度越高,且当ncc( r,c) = 1 时,可认为待检图像与之间模板图像完全一致。通过 NCC 模板匹配找到待检测产品图像中与模板区域相对应的位置后,为拟合待检测产品图像与标准图之间的变换,可通过标准图中的模板区域与待检测图中所找到的相对应的模板区域之间的位置和角度关系,并计算得到相应的刚性仿射变换矩阵。其中刚性仿射变换由旋转变换和平移变换组成,其本质是两个矩阵在空间的映射。而图像本质上是数字化的矩阵,因此刚性仿射变换能够准确的反映待检测图像模板区域与模板在空间中的映射关系。令模板图像中原始点的坐标为( row1,col1) ,待检测图像中与模板图像对应点坐标为( row2,col2) ,则变换前后仿射变换矩阵 HomMat2D 可表示为:

 

2.4 缺陷检测结果

      通过标准合格工件图中的点胶区域、溢胶区域以及得到的刚性仿射变换矩阵确定待检测产品图像中的点胶区域与溢胶区域位置信息,如图 6 所示。

 

图6待检测图像检测区域

2.4.1 溢胶检测

       对经由刚性仿射变换矩阵确定的待检测产品图像溢胶区域,如图 6a 所示,通过二值化分割方法判断该区域中是否存在胶水部分,若存在,则表明该产品存在溢胶。

2.4.2 其他缺陷检测

       对经由仿射变换矩阵确定的待检测产品图像点胶区域,如图 6b 所示,利用二值化分割方法提取待检测胶水区域中白色胶水反光区域及黑色胶水不反光区域,并返回两个区域的联合,通过开闭运算、孔洞填充及联通域联合等一系列图形处理后,根据当前产品面积特征设定合适阈值,并提取待检测图像中胶水区域中面积大于该阈值的区域,若该区域个数大于 1 即断胶,等于 0 即无胶,等于 1 则进一步判断是否为少胶。对通过面积特征提取出来的胶水区域腐蚀指定宽度后再计算该区域个数,若个数为 1 则为合格品,若大于 1 即少胶。为验证算法的有效性,随机抽取 500 个工件进行实验,检测结果如表 1 所示,总体检测成功率达99. 6% ,相比不采用亚像素轮廓进行检测,其检测准确率提高了 11.6%。

 

       在本文中,单幅图像在配置为 Core i5/2. 3GHz( CPU) 、8GB RAM 的计算机上最大耗时仅为354.6ms,满足工业检测效率要求,相对于传统的人工检测准确率和效率都有了很大的提高。

3. 结语

       根据工业生产需求,本文设计得到一种针对产品点胶质量检测系统,该系统基于亚像素边缘检测方法,与传统方法相比具有精度高,效率高等优点。并且,采用该方法设计得到的检测系统对测量环境要求低,具有很强的自适应能力。实验结果表明,该方案能准确并快速的检测出合格品并判读不合格品的缺陷类型,对实现点胶质量工业化检测有重要意义,并为视觉检测技术在其他检测领域的应用提供一定的参考。

        深圳市伟德国际唯一官网入口光电科技有限公司是一家以机器视觉为技术核心,自主技术研究与应用拓展为导向的高科技企业。公司自成立以来不断创新,在智能自动化领域研发出视觉对位系统、机械手视觉定位视觉检测、图像处理库等为核心的20多款自主知识产权产品。涉及自动贴合机、丝印机、曝光机、叠片机、贴片机、智能检测、智能镭射等众多行业领域。伟德国际唯一官网入口视觉系统最高生产精度可达um级别,图像处理精准、速度快,将智能自动化制造行业的生产水平提升到一个更高的层次,改进了以往落后的生产流程,得到广大用户的认可与肯定。随着智能自动化生产的普及与发展,伟德国际唯一官网入口将为广大生产行业带来更全面、更精细、更智能化的技术及服务。

客服电话
  • 0755-23712116
  • 13310869691