图像处理
新闻详情

亚像素数值极值检测算法总结

发布时间:2020-10-16 08:54:39 最后更新:2020-11-26 17:51:22 浏览次数:4664

动机

在计算机视觉领域,经常需要检测极值位置,比如SIFT关键点检测、模板匹配获得最大响应位置、统计直方图峰值位置、边缘检测等等,有时只需要像素精度就可以,有时则需要亚像素精度。本文尝试总结几种常用的一维离散数据极值检测方法,几个算法主要来自论文《A Comparison of Algorithms for Subpixel Peak Detection》,加上自己的理解和推导。

问题定义

给定如下离散值,求其极值位置。可知125为观察极值。


如果这些离散值是从某个分布中等间距采样获得,其真正的极值位置应位于120和125之间。

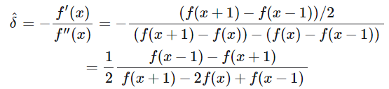
下面给出形式化的定义:给定一组离散值,令为观测到的极值点位置,其值为,其左右相邻位置的值为,真正的极值点位置为,令的估计值。

算法

假设的邻域可通过某个模型进行近似,如高斯近似、抛物线近似,则可以利用的邻域信息根据模型估计出极值。使用的模型不同就有不同的算法,具体如下。

高斯近似

一维高斯函数如下:


时为标准高斯函数,形如

标准高斯函数

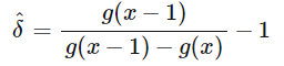
假设的邻域可用高斯近似,用三点对高斯函数进行拟合,获得模型参数即为峰值位置,。将三点带入上面的高斯函数两边同时取对数求得:


下面可以看到,高斯近似相当于取对数后的抛物线近似

抛物线近似

使用抛物线近似的局部,可以将三点带入求参数即为估计的极值位置,也可采用泰勒展开牛顿法)来求极值。泰勒公式实际上是一种利用高阶导数通过多项式近似函数的方法,下面的图示可直观理解这种近似,图示为通过泰勒公式近似原点附近的正弦曲线:

泰勒近似正弦曲线

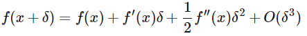
泰勒近似x附近,如只取到二阶则为抛物线近似。假设高阶可导,极值为,则根据泰勒公式,


极值处导数为0,这里为常数为变量,两边同时对求导,忽略高阶项可得


使用一阶微分和二阶微分近似


与带入抛物线求参数的结果是一致的,加上对数则与高斯近似一致。

质心算法


质心

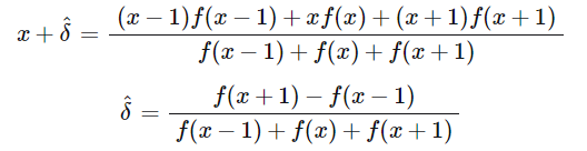
若将看成质点,将看成质点的质量,则可以把质心作为极值的估计。根据质点相对质心位置的质量加权和为零,可求得质心位置。令为质心坐标,分别为质点质量和坐标,则个质点的质心满足


,质心坐标为


带入得


以上考虑的是3质点系统的质心,还可考虑5质点、7质点等,甚至考虑所有点。

线性插值

这个模型假设在极值两侧是线性增长和线性下降的,且上升和下降的速度相同,即,上升侧,下降侧,两者绝对值相同,可以利用这个性质求解极值位置。

则极值位于之间,可列等式


解得


同理,若求得


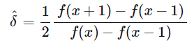
数值微分滤波

这个方法是利用极值处导数为0的性质,在微分滤波结果上插值得到导数为0的位置,因已知极值点在x附近,因此只需在x附近做微分和插值即可。插值时取极值点两侧正负值连线的过零点作为极值点的估计,如下图所示

Linear  interpolation of the peak position

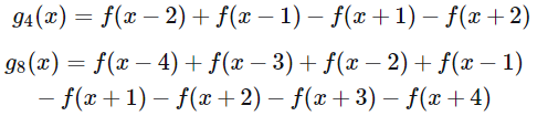
论文Real-time numerical peak detector中定义了4阶和8阶线性滤波器,对应的函数形式为


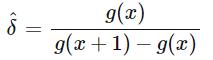
2阶形式为,这些滤波器的表现与数值微分滤波器相似。

时,极值点位于之间,,极值点位置为连线的过零点,通过斜率求得


,则


总结

这些数值极值检测方法均是先获取观测极值及其邻域信息,然后综合邻域信息在各自的模型假设下通过插值估计出极值位置。若能知道数值来自的真实分布,则直接拟合真实分布然后求极值即可,但往往我们并不知道真实的分布是什么,即使知道真实分布,有时为了快速计算,也会采取插值的方式来估计极值,毕竟偏差可接受效果足够好就可以了。应用时,为了抗噪可对数据先平滑然后求极值,具体采用何种方法可在准确和速度间权衡——所用模型与真实分布越相近自然越准确,如果实在不知道怎么选,就实践对比吧(因为我也不知道),毕竟伟大领袖教导过我们——实践是检验真理的唯一标准

客服电话
  • 0755-23712116
  • 13310869691