热线电话:0755-23712116
邮箱:contact@shuangyi-tech.com
地址:深圳市宝安区沙井街道后亭茅洲山工业园工业大厦全至科技创新园科创大厦2层2A
归一化变换包含两个部分,图像坐标的平移和尺度的缩放。进行归一化的变换不但能够提高处理结果的精确度,而且通过选择一个标准的坐标系预先的消除了图像尺度和坐标原点的选择对算法最终结果的影响。
归一化变换的步骤:
1. 对点进行平移,让这些点的图心(Centroid)移到原点
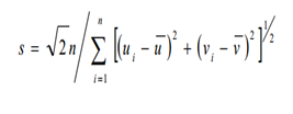
2. 进行尺度缩放,让这些点的到原点的平均距离为
数据的归一化在一些算法中是必须得,特别是对一些不太良定的问题,例如:基本矩阵的计算以及三焦张量的DLT算法。
归一化变换矩阵T的求解:
是
的平均值
尺度S为
热线电话:0755-23712116
邮箱:contact@shuangyi-tech.com
地址:深圳市宝安区沙井街道后亭茅洲山工业园工业大厦全至科技创新园科创大厦2层2A