图像处理
新闻详情

图像处理基础(3):均值滤波器及其变种

发布时间:2021-01-07 14:07:34 最后更新:2021-01-07 16:28:52 浏览次数:5872

均值滤波器可以归为低通滤波器,是一种线性滤波器,其输出为邻域模板内的像素的简单平均值,主要用于图像的模糊和降噪。
均值滤波器的概念非常的直观,使用滤波器窗口内的像素的平均灰度值代替图像中的像素值,这样的结果就是降低图像中的“尖锐”变化。这就造成,均值滤波器可以降低噪声的同时,也会模糊图像的边缘。均值滤波器的处理结果是过滤掉图像中的“不相关”细节,其中“不相关”细节指的是:与滤波器模板尺寸相比较小的像素区域。

根据均值计算方法的不同,均值滤波器有以下几种:

?算术均值滤波器

?几何均值滤波器

?谐波均值滤波器

?逆谐波均值滤波器

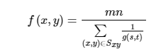
算术均值滤波器 Arithmetic Mean Filter

这是最简单的均值滤波器,可以去除均匀噪声和高斯噪声,但会对图像造成一定程度的模糊。
表示中心点在处,大小为的滤波器窗口。算术均值滤波器就是简单的计算窗口区域的像素均值,然后将均值赋值给窗口中心点处的像素:


其中,表示原始图像,表示均值滤波后得到的图像。
基于上述公式,可以很容易的得到的算术均值滤波器的窗口模板,下面以3×3为例


在OpenCV中,函数blur表示使用该模板的均值滤波器,其声明如下:

void blur( InputArray src, OutputArray dst,
                        Size ksize, Point anchor = Point(-1,-1),
                        int borderType = BORDER_DEFAULT );

src是输入图像,dst为输出图像;ksize是滤波器模板窗口的大小;后两个参数分别表示,待处理像素在模板窗口的位置,默认值是窗口的中心位置,所以窗口的大小一般为奇数,最后一个参数表示对编解类型的处理,使用默认值即可。其调用示例blur(src,dst,Size(5,5),模板窗口的大小为5×5。

盒状滤波器

当滤波器的模板的所有的系数都相等时称之为盒状滤波器 Box Filter。其使用的模板如下(3×3 为例):


时,盒状滤波器可以很方便的计算图像像素邻域的和,对计算图像的各种积分特性例如图像的协方差矩阵,是很有帮助的。OpenCV中的函数boxFilter就是盒状滤波器,其声明如下:

void boxFilter( InputArray src, OutputArray dst, int ddepth,
                             Size ksize, Point anchor = Point(-1,-1),
                             bool normalize = true,
                             int borderType = BORDER_DEFAULT );

和blur的参数比较类似,所不同的ddepth是滤波后图像的深度,-1表示和原图像的深度相同;参数normalize表示是否有归一化的参数,这是因为在boxFilter使用的模板如下:


其中,


也就是说,当normalize = true时,这也是一个默认值,其就是一个算术均值滤波器;normalize=false,盒状滤波器的作用就是计算模板窗口内的像素的和,然后将值赋给窗口中心位置的像素,主要用来计算邻域像素的和。

加权的均值滤波器

不同于上面的所有像素的系数都是相同的,加权的均值滤波器使用的模板系数,会根据像素和窗口中心像素的距离而取不同的系数。赋予中心点最高的权重,然后随着离中心点的距离增加而减小系数,这样做的目的是在平滑图像的同时尽量降低对图像的模糊。最常用的加权模板如下(3×3)为例:


其他的一些非线性均值滤波器

除了上述算术均值滤波器,根据计算均值方法的不同还有几种均值滤波。

几何均值滤波器 Geometric Mean Filter其公式如下:


滤波后图像的像素由模板窗口内像素的乘积的幂给出。 和算术均值滤波器相比,几何均值滤波器能够更好的取出高斯噪声,并且能够更多的保留图像的边缘信息。但,其对0值是非常敏感的,在滤波器的窗口内只要有一个像素的灰度值为0,就会造成滤波器的输出结果为0。

谐波均值滤波器 Harmonic Mean Filter 其公式如下:


谐波均值滤波器对盐粒噪声(白噪声)效果较好,不适用于胡椒噪声;比较适合处理高斯噪声。

逆谐波均值滤波器 Contra-Harmonic Mean Filter其公式如下:


其中Q称为滤波器的阶数,该滤波器可以用来消除椒盐噪声。但是需要不同同时处理盐粒噪声和胡椒噪声,当Q为正时,可以消除胡椒噪声;当Q为负时,消除盐粒噪声。当Q=0时,该滤波器退化为算术均值滤波器;Q=-1时,退化为谐波均值滤波器。

均值滤波器 非线性均值滤波器中的一种,其公式如下:


P为负数时可以有效的滤去盐粒(白)噪声,正的异常值;P为正时可以过滤胡椒(黑)噪声,负的异常值。

基于OpenCV的实现

上述滤波器的实现大同小异,只是计算均值的方法不同。

    Mat tmp;
    copyMakeBorder(m, tmp, ksize / 2, ksize / 2, ksize / 2, ksize / 2, BorderTypes::BORDER_REFLECT); // 扩展边界
    int rows = tmp.rows - ksize / 2;
    int cols = (tmp.cols - ksize / 2) * tmp.channels();
    for (int i = ksize / 2; i < rows - ksize / 2; i++)
    {
        for (int j = ksize / 2; j < cols - ksize / 2; j++)
        {
           // 遍历窗口内的像素,计算均值
        }
    }
    Rect rect(ksize / 2, ksize / 2, m.cols, m.rows);
    m = tmp(rect);

下面就不再贴全的代码,只给出根据不同的公式计算均值的代码。
几何均值滤波器

// 取得窗口像素
            double mul = 1;
            for (int a = -ksize / 2; a <= ksize / 2; a++)
            {
                for (int b = -ksize / 2; b <= ksize / 2; b++)
                {
                    mul *= tmp.at(i + a, j + b);
                }
            }
            auto pixel = pow(mul, 1.0 / (ksize * ksize));
            if (pixel < 0)
                pixel = 0;
            else if (pixel >= 255)
                pixel = 255;
            tmp.at(i, j) = static_cast(pixel);

基本就是遍历图像的像素,然后在滤波器的窗口内根据均值的计算方式计算均值;几何滤波器,就是将滤波器窗口内的像素乘积,然后去乘积的幂。需要说明的是:几何均值滤波器有个致命的缺陷,那就是当窗口内像素只要有一个值为0,则其计算得到的值就是0,这在去去噪时表现的比较明显,例如:

由于噪声的污染比较严重,在使用几何均值滤波器去噪时,会得到一块黑色区域(灰度值为0)。

加权的均值滤波器

            // 取得窗口像素
            int sum = 0;
              int weightSum = 0;
            for (int a = -ksize / 2; a <= ksize / 2; a++)
            {
                for (int b = -ksize / 2; b <= ksize / 2; b++)
                {
                    auto weight = pow(2, ksize - abs(a) - abs(b) - 1);
                    weightSum += weight;
                    sum += weight * tmp.at(i + a, j + b);
                }
            }
            auto pixel = static_cast<int>(sum / weightSum);
            if (pixel < 0)
                pixel = 0;
            else if (pixel > 255)
                pixel = 255;
            tmp.at(i,j) = pixel;

主要是权值系数的计算,可以发现一定的关系,和中心越近的其权值越高,具体公式:,其中为和中心在方向的距离。


加权的均值滤波器去噪效果和均值滤波器相当,但是在保护图像细节方面比均值滤波器效果要好,上图是3×3的滤波器,窗口较小,两者的区别不是较大。
下图是7×7的滤波器,对比就比较明显了。


至于,其他的几种:谐波滤波器、逆谐波滤波器和均值滤波器,实现都差不多,代码就不再贴出了。

总结

均值滤波器能够去除均匀分布和高斯分布的噪声,但是在过滤掉噪声的同时,会对图像造成一定的模糊,使用的窗口越大,造成的模糊也就越明显。
根据计算均值方法的不同,有多种均值滤波,经常使用的是算术均值滤波器,计算简单,但是对图像造成的模糊交明显;另外,有加权的均值滤波器,给窗口内的像素不同的系数,距离中心越近则系数越大。
使用加权的均值滤波器,去除噪声的能力和算术均值滤波器相当,但是对图像造成的模糊较轻,能够更好的保护图像的细节。(上面已有对比)

几何均值滤波器,在过滤噪声的同时也能更好的保护图像的细节,但是有个缺陷:在滤波的过程中,窗口内的像素只要有一个为0,则其得出的值就是0.

至于余下的几种,在能够去除高斯噪声,并且对椒盐噪声也有一定的作用,具体如下:

?谐波均值滤波器 能过滤盐粒噪声,对胡椒噪声无效

?逆谐波均值滤波器,当阶数Q为正时,可以过滤胡椒噪声;Q为负时可以过滤盐粒噪声。不能同时对椒盐噪声起作用。

? 均值滤波器, 和逆谐波均值滤波器类似。当P为正时,能够过滤椒盐噪声;P为负时,能够过滤盐粒噪声。


文章转自Brook_icv   https://www.cnblogs.com/wangguchangqing/p/6399293.html

客服电话
  • 0755-23712116
  • 13310869691